インフルエンザが再流行、学級閉鎖等は1万施設以上

 厚生労働省は2026年2月16日、2026年第6週(2月2日~8日)のインフルエンザ発生状況を発表した。定点医療機関あたりの患者報告数は全国平均43.34人。警報レベルが続いており、5週連続の増加となった。

生活・健康 その他

advertisement

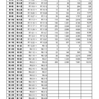
インフルエンザと新型コロナウイルス感染症の定点あたり報告数の推移(全国)
インフルエンザと新型コロナウイルス感染症の定点あたり報告数の推移(全国) 全 4 枚 拡大写真

 厚生労働省は2026年2月16日、2026年第6週(2月2日~8日)のインフルエンザ発生状況を発表した。定点医療機関あたりの患者報告数は全国平均43.34人。警報レベルが続いており、5週連続の増加となった。

 第6週の定点あたり報告数の全国平均は43.34人。インフルエンザの患者数は、2025年第47週(11月17日~23日)の51.12人をピークに減っていたが、2026年に入り再び増加。第2週(1月5日~11日)10.54人、第3週(1月12日~18日)11.33人、第4週(1月19日~25日)16.64人、第5週(1月26日~2月1日)30.03人と、5週連続で増え続けている。

 都道府県別にみると、「鹿児島県」74.82人がもっとも多く、「大分県」69.67人、「千葉県」62.69人、「愛媛県」61.62人、「宮城県」60.82人、「山梨県」60.23人、「埼玉県」60.17人と続いている。

 第6週におけるインフルエンザ様疾患による保育所、幼稚園、小学校、中学校、高校の休業施設数は、休校269施設、学年閉鎖2,380施設、学級閉鎖7,661施設の計1万310施設。今シーズン最多だった2025年第47週の8,817施設を上回った。施設別では、小学校6,438施設がもっとも多く、ついで中学校2,767施設となっている。

 全国的にインフルエンザウイルスのB型が増えていることが、感染の再拡大につながっているとみられている。第6週の定点あたり患者報告数が全国で3番目に多い千葉県でも、今シーズンの当初はA型が多かったが、2026年第3週にB型がA型を上回って以降、B型の占める割合が増加している。

 本格的な受験シーズンを迎える中、学校や家庭などで感染を広げないよう、手洗いや咳エチケット、室内の換気など、基本的な予防対策が求められている。

《奥山直美》

advertisement

【注目の記事】

この記事の写真

/

advertisement

特集