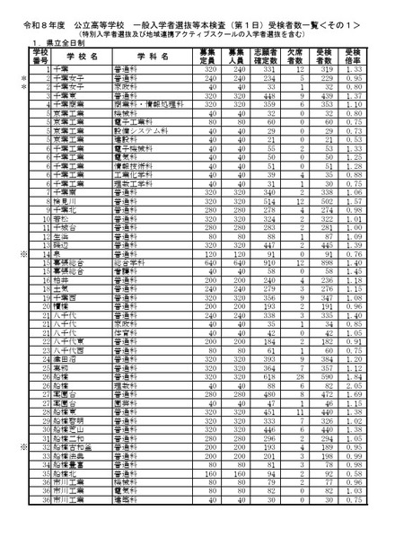
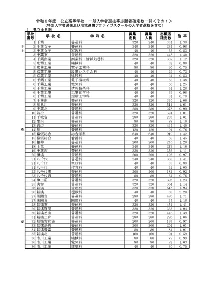
千葉県教育委員会は2026年2月17日、同日行われた2026年度(令和8年度)千葉県公立高等学校の一般入学者選抜等の受検状況を発表した。全日制の課程は3万1,537人が受検し、受検倍率は1.09倍となった。
2026年度千葉県公立高等学校入学者選抜の一般入学者選抜、特別入学者選抜、地域連携アクティブスクールの入学者選抜、通信制の課程の一期入学者選抜は、2月17日と18日に本検査を実施(一期入学者選抜などは17日のみ)。初日は、国語・数学・英語の学力検査などが行われた。
一般入学者選抜は、全日制の課程124校199学科で実施。募集人員2万8,880人に対して3万1,537人が受検した。欠席者数は471人、受検倍率は1.09倍。
全日制でもっとも受検倍率が高かったのは、船橋(理数)2.05倍、ついで船橋(普通)1.84倍、小金(総合)1.83倍、東葛飾(普通)1.74倍、市立千葉(理数)1.73倍、薬園台(普通)1.69倍、佐倉(理数)1.63倍、検見川(普通)1.57倍など。
このほか、進学指導重点校の受検倍率は、千葉東(普通)1.37倍、柏(普通)1.18倍、柏(理数)1.33倍、佐倉(普通)1.48倍、佐原(普通)0.93倍、佐原(理数)0.48倍、匝瑳(総合)0.86倍、成東(普通・理数)0.98倍、長生(普通・理数)1.25倍、安房(普通)0.89倍、木更津(普通)1.34倍、木更津(理数)1.28倍だった。
定時制の課程は16校16学科で実施し、募集人員1,237人に対して802人が受検し、欠席者数は19人、受検倍率は0.65倍。通信制の課程の一期入学者選抜は、千葉大宮(普通)で実施。募集人員360人に対して受検者数は189人、受検倍率は0.53倍だった。
2月18日は、一般入学者選抜、連携型高等学校の特別入学者選抜、地域連携アクティブスクールの入学者選抜の本検査(第2日)を実施。理科・社会の学力検査などが行われる。
今後、追検査の出願を2月20日から24日正午まで受け付け、2月26日に追検査を実施。本検査・追検査あわせて、入学許可候補者を3月3日に発表する。


