教育・受験 トピックス特集 最新記事(2527ページ目)
【高校受験2013】静岡県の公立高校入試の解答速報開始
教育・受験
【大学受験2013】国公立大2次(後期)2段階選抜、一橋や首都大学東京など25大学が実施
教育・受験
【高校受験2013】北海道公立高校入試、15:55よりテレビで解答速報開始
教育・受験
「ドコモ留学生奨学金」など、2013年度受給者を募集…いずれも返還義務なし
教育・受験
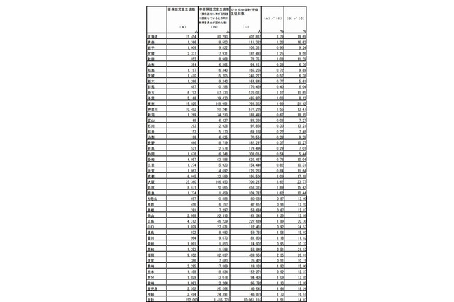
全国学力テスト、4/24実施…3万978校が参加
教育・受験
就活に「勝ちシャツ」熊本学園大生らが地元百貨店と共同開発
生活・健康
【高校受験2013】茨城県公立高校入試、19時半よりラジオで解答速報開始
教育・受験
【高校受験2013】新潟県公立高校の最終志願状況…全日制1.10倍
教育・受験
【高校受験2013】福岡県公立高校 確定志願状況、県立1.27・市町立1.38・組合立3.0倍
教育・受験
【高校受験2013】千葉県私立高校、23校で2次募集
教育・受験
文科省、3/22にサイエンスカフェ開催…テーマは「子どもたちへの政治教育」
教育・受験
【高校受験2013】埼玉県公立高校全5科目の解答をWeb速報…東京新聞
教育・受験
大学による被災地支援…明大や東京理科大など
生活・健康
アップル、iTunes Uからの教育コンテンツダウンロード数が10億に
教育ICT
浜学園「春期講習受講資格判定テスト」3/16-24
教育・受験
