千葉県教育委員会は2026年2月13日、2026年度(令和8年度)千葉県公立高等学校入学者選抜について、一般入学者選抜等の入学志願者確定数を発表した。志願確定倍率は、県立全日制では船橋(理数科)の2.20倍がもっとも高くなっている。本検査は2月17日と18日に実施される。
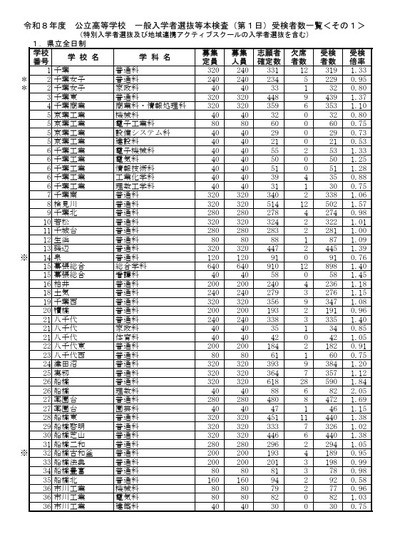
2026年度千葉県公立高等学校の一般入学者選抜、特別入学者選抜、地域連携アクティブスクールの入学者選抜、通信制の課程の一期入学者選抜は、2月5日正午に出願を締め切った。その後、2月10日と12日午後4時まで志願または希望の変更を受け付け、志願者数が確定した。全日制の課程の志願者確定数は3万2,008人で、平均倍率は1.11倍となった。
一般入学者選抜等は、県立全日制、市立全日制、県立定時制などの各学科で実施されている。志願確定倍率がもっとも高かったのは、全日制が船橋(理数科)2.20倍、定時制が松戸南(普通・午後部)1.30倍。このほか、全日制では船橋(普通)1.93倍、小金(総合学科)1.87倍、東葛飾(普通)1.82倍、市立千葉(理数)1.75倍、薬園台(普通)1.71倍、佐倉(理数)1.63倍、検見川(普通)1.61倍などの倍率が高い。千葉(普通)は1.38倍、千葉女子(普通)は0.98倍だった。
進学指導重点校の志願確定倍率は、千葉東(普通)1.40倍、船橋(普通)1.93倍、船橋(理数科)2.20倍、柏(普通)1.20倍、柏(理数)1.33倍、佐倉(普通)1.51倍、佐倉(理数)1.63倍、佐原(普通)0.93倍、佐原(理数)0.50倍、匝瑳(総合)0.86倍、成東(普通・理数)0.99倍、長生(普通・理数)1.28倍、安房(普通)0.90倍、木更津(普通)1.38倍、木更津(理数)1.38倍となっている。
今後、学力検査(本検査)は2月17日と18日、追検査は2月26日に行われる。入学許可候補者の発表(合格発表)は3月3日午前9時に、各高等学校における掲示およびWebサイトでの合否照会により行われる。



