中学生特集 最新記事(1065ページ目)
【高校受験2018】栃木県公立高入試の出願状況・倍率(2/21時点)宇都宮(普通)1.20倍、宇都宮女子(普通)1.25倍
教育・受験
【高校受験2018】秋田県公立高入試の志願状況・倍率(確定)秋田(普通・理数)1.17倍、秋田工業(電気エネルギー)1.58倍など
教育・受験
【高校受験2018】長野県公立高校後期選抜、全日制で1万982人募集
教育・受験
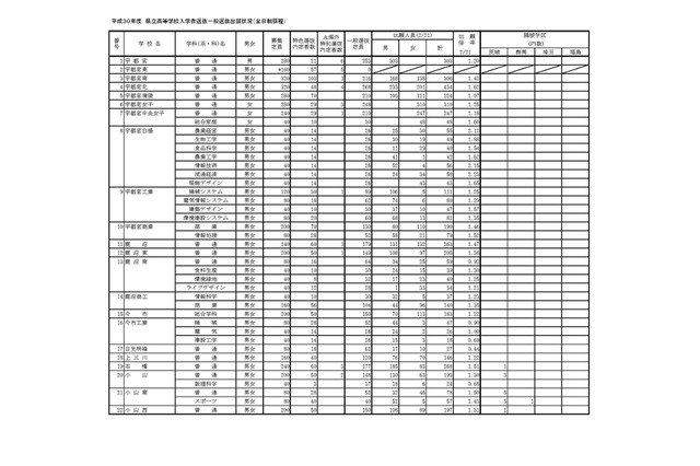
【高校受験2018】徳島県公立高入試、一般選抜の志願状況・倍率(2/21時点)徳島市立(普通)1.05倍、城東(普通)1.02倍など
教育・受験
【高校受験2018】石川県公立高、一般入試の志願状況・倍率(2/20時点)金沢泉丘1.27倍など
教育・受験
【高校受験2018】佐賀県公立高入試、一般選抜の志願状況・倍率(2/21時点)佐賀西1.20倍など
教育・受験
サイエンスの学びから将来の夢へ「リケジョ未来シンポジウム」3/25
教育イベント
【高校受験2018】静岡県公立高入試、一般選抜の志願状況・倍率(2/21時点)静岡(普通)1.18倍など
教育・受験
大使館主催「カナダ留学フェア2018春」3/16-17
教育イベント
【高校受験2018】新潟県公立高入試の出願状況・倍率(2/21時点)新潟(理数)1.83倍、市立万代(英語理数)2.17倍など
教育・受験
【高校受験2018】千葉県公立高入試、前期選抜の内定状況…全日制は内定率56.7%
教育・受験
【春休み2018】仮面ライダーも登場「東京モーターサイクルショー2018」3/23-25
趣味・娯楽
【高校受験2018】福島県公立高入試II期選抜志願状況・倍率(2/19時点)福島(普通)1.22倍など
教育・受験
仮装もOK「チキチキ!から揚げRUN」ハウステンボス3/17
趣味・娯楽
プレステ2を分解してしくみを学ぶ…小3-中1対象ワークショップ
教育・受験
